√99以上 gps 垂直精度 248899-Gps 垂直精度
记录 GPS 元数据 除了地理坐标系外,您可能还希望保存与要素关联的其他 GPS 元数据,如其精度和定位类型。 存储此类元数据对于评估数据质量和确保已维护数据采集标准十分具有价值。 您可以向点要素服务中添加 GPS 元数据字段,以便 Collector 在编辑点要素GPS受信機で受信することによって衛星からの距離を 算出し、同時に衛星から送られてくる位置情報をもとに GPS受信機の位置を計算するものである。 原理や精度の違いによってGPSの測位方式は単独測 位と相対測位の2種類に分類される。 精度因子的概念 可视卫星个数及其空间分布对定位精度的影响 前已述及,除了卫星轨道误差、大气折射影响以外,绝对定位的精度还与观测时段可视卫星的数量与空间分布有关。 现在就来讨论一下这个问题。 根据概率统计的有关知识,一组随机参数的统计
东方联星 北斗导航芯片 北斗导航板块 北斗导航终端 北斗导航芯片 板块 各类终端应用产品自主研发
Gps 垂直精度
Gps 垂直精度-GPS高程这玩意没有与正常高联测的话,都没法往正常高上靠。 所以GPS直接测出来的高程不能直接与测量里的高程混用。 "精度"差远了,根本是两个系统嘛。 以上。 这是因为:对于接收机来说,在高程方向上,只有一侧有可见星,说白了就是只有上面有星22 GPS のサービス GPS は軍関係者利用のための精密測位業務PPS(Precise Positioning Service)と一般利用 者用の標準測位業務SPS(Standard Positioning Service)の2 種類のサービスを提供している。 PPS の測位精度は、少なくても水平方向に22 m (2 drms, 95%)、垂直方向に275 m (95%) とされる。 ここで、drms (distance root mean square)とは、測定距離の平均値との差の2 乗 の平均に平方根



计划静态gps Gnss控制调查 准确性和精度 Gnss 世界
8 携帯GPSの精度について 携帯GPSの基本的精度は数m(GPS 信号に影響してくる電離層や大気圏通過時の 遅延等による誤差源によるものでは45 90m~ )とされています。 しかし、精度が数mであっても、受信状態(衛星の配置状況、受信衛星数)や受信感 GPS测绘仪上标有精度:平面±(2cm1ppm),垂直±(3cm1ppm),请教一下应该如何理解这个精度,是多大范围内误差为2CM或者3cm呢? 可不可以具体解释一下2cm1ppm是什么意思啊 是说误差不管距离多少的时候都是在2cM后面一个百万之几吗 展开二、GPS变形监测的应用方向 随着GPS技术的不断改进和完善,GPS已经能够对工程的变形进行以亚毫米到毫米为精度的精密监测。 工程的形变多种多样,例如,高策建筑的变形、大坝的变形,以及矿区等地区的沉降等等。 1、GPS在监测地面沉陷中的应用 随着煤
GPS测量作为一种高精度地壳形变观测手段,能够通过其连续观测的站点坐标变化时间序列有效反映出地表质量迁移所引起的地壳形变 2 4 。 相关研究表明,在扣除主要与构造运动有关的线性变化后,GPS垂直位移时间序列的周年尺度变化与年际变化主要由地表质量变化引起 5 6 ,其变化能反映陆地水、大气和海洋等地表质量运移及相互作用的信息。 重力卫星GRACE (gravity recovery andGPS 位置精度の実際 _Garmin 事例 GPSの位置精度について皆さま気になることかと思います。 よく雑誌等のテストで街を1回だけ歩いて精度(誤差)や機器比較されていますが、実際山では谷や木々も季節により違い、また天候・電離層の状態なども日々変化しますので、1度での比較では結論が出 利用最新发布的egm08地球重力场模型并结合我国均匀分布的936个gps水准点数据得到了我国青岛大港验潮站的重力位为62 636 ±007 m2 /s2, 进而得到我国高程基准相对全球大地水准面间的偏差为032m。由于高程基准垂直偏差的计算受gps水准点和位模型影响较大, 因此未来建议采用更多高等级的gps水准
原因有两个: 1 GPS接收机只能接收到上方的卫星的信号(可以理解为接收机和卫星i之间的距离加上一个固定的偏差),下方的卫星信号被地球遮挡而无法接收,因此水平方向与海拔方向的观测本来就不一样。 水平方向卫星分布更均匀,精度更高;而垂直方向卫星均在一侧分布,精度稍低。 对于原因1,假设地球不遮挡卫星信号,那么高度方向与水平方向的精度将是基本一致的。 2 GPS解算出的高度是相对GPSといえば以前は50~100メートルほどの精度に制限されていましたが、00年を境に、一般的に使用されるGPSは数メートルの範囲まで精度が向上したという特徴があります。 しかしGPSの精度は、様々な要素によって変動する可能性があります。 変動に影響するのは、以下の3点です。 大気 建設物などの遮蔽物 通信キャリアの障害 GPSの精度は、大気の状態によって変化します。 天気が曇っGPS L1 /L2/L5 GLONASSF1/F2;BeiDou B1/B2/ GalileoE1/E5 定位精度 水平 1cm1ppm垂直 2cm1ppm;1ppm 每增加1km,精度变差1mm。 定位更新率 1000HZ 冷启动 <45s 热启动 <10s 重捕获 <1s 初始化可靠性 >999% 差分数据传输格式 RTCM 2X/3X 数据链路 4G



陆态网 Gps与grace的中国大陆地表垂直形变对比分析



久保田四星t16测亩仪高精度gps面积测量仪智能车载地亩量地t6st8s 便捷淘购商城 淘优券
绝对重力获得的测站垂直位移速率(由Bouguer 梯度推算) Fig VerticalVariation Derived romAbsolution Gravit GPS用于沿海海岸的垂直位移监测,采用一 周观测时间的定期复测,高程方向的内符合观测 第30卷第12 GPS监测中国沿海验潮站垂直运动观测研究 精度可以达到 以内。与美国gps 系统相类似的卫星定位系统。glonass 系统单点定位精度水平方 向为16 米,垂直方向为25 米。 3 卫星导航定位基本原理 无人机定位是通过其携带的gps 或北斗定位模块接收卫星信号,通过相应 计算和转换获得当前位置信息5。 一个设计良好的GPS接收器可以达到3米或更好的水平精度和5米或更好的垂直精度95%的时间。 增强型GPS系统可以提供亚米精度。 但它仍然不完美。 有什么来源 GPS误差 那会让你离目标几米远吗? gdop/pdop–几何/位置精度稀释 ¶ GDOP(几何精度稀释)或PDOP(位置精度稀释)描述了GPS卫星相对位置引起的误差。 基本上,GPS接收器能"看到"的信号越多(分开或靠近),它就越



Ppt 行動定位服務location Based Services Powerpoint Presentation Id



华测导航lt600系列国土三调专用高精度gnss数据采集平板终端 价格 报价 使用说明书 技术参数 多少钱 哪里买 四川 成都
GPS的指标? 这里,有比较重要的几个指标: 速度数据的精度在005m/s ; 水平的定位精度,如图所示,一般设置在GPS模式时, 定位精度为25m左右 ; 输出频率,在GPS模式时, 最大输出10hz 。 GPS的输出协议? 以M8N模块为例,有 NMEA、UBX、RTCM3种 。 默认NMEA、UBX两种协议都已使能,但是输出的只有NMEA协议,这个协议是ASCII码形式输出,如果与电脑上位机进行通讯时,用这种方GPS观测精度受仪器设备和相关模型缺陷的影响, 目前GPS垂直方向的精度较低, 利用当前的GPS垂直位移观测量能否给出稳健的陆地水储量结果仍需深入的研究和分析。为了探讨当前GPS台站反演陆地水的可行性, 本文选取10—14年期间全球陆地数据同化模型GLDAS Noah数据 ( http//daacgsfcnasagov ), 计算得到目标区域内水储量周年振幅, 以其周年振幅为云南区域内陆地水分布真值, 根据式 (2)计算各 高精度成图关键技术 根据误差来源分析,要提高成图精度,有必要采用一些关键技术手段和方法,以增强影像质量、提高影像地面分辨率、减小镜头畸变影响、提高像片外方位元素精度。 (1)事后差分gps 事后差分gps 系统包括基站gps、移动站gps 和事后差分解算



差分全球定位系统 Wikiwand



Flex手机项目 获取gps定位信息 并通过百度地图显示位置
GPS技术采用 (方格网法和DTM 法)两种方法测算,地面三维激光扫描采用激光点云建模测量体积的方法,倾斜摄影测量采用无人机影像建模测算体积的方法。 研究结果表明:传统土石方测量方法,外业采集效率较低,测算的精度较低。 采用三维激光扫描技术和 gps定位可以合理预期垂直精度约为水平精度的1/3。 如果GPS位置的绝对水平精度为± 1m,则同一GPS位置的绝对垂直精度的估计值为〜± 3m。 有关水平精度的更多信息,该图显示了围绕范围中心的位置分布。 gps 卫星定位系统出现以后,由于 gps 定位是利用接收空中卫星信号测距进行定位,国内外专家学者研究表明应用 igs 精密星历和最新版本的 gamit 高精度 gps 数据处理软件处理数据,中短边相对中误差优于 14 × 10 7 ,长边相对中误差优于 18 × 10 9 ,最弱点点位中误差水平分量优于 2mm ,可以满足



转载 Dg4pros结合m3d 1 500地籍免像控实践详解 M3d三维建模技术论坛



低成本实时动态载波相位差分gps的定位精度研究
VDOP(vertical dilution of precision )垂直分量精度因子 DOP值的大小与GPS定位的误差成正比,DOP值越大,定位误差越大,定位的精度就低。 PDOP则直接反映GPS卫星的分布情况,当PDOP较大时,表明空中的4颗GPS卫星几何分布不是太理想,他们构成的图形周长太短,定位精度就低,反之亦然。 精度衰减因子 (DOP)是位置质量的指示器。 它是考虑每颗卫星相对于星座(几何位 大疆的"悟"系列高端产品在没有 GPS 信号的室内可以通过超声波传感器和摄像头进行"视觉定位",在同类产品中比较突出。 而悬停精度方面,像大疆精灵 2 这类产品水平精度可达 25m,垂直精度可达 08m(最高端的"悟"系列也只是把垂直精度提升到了 05m)载波精度: L1=05mm/L2=1mm B1=05mm/B2=05mm/=05mm 静态精度: 水平:±(25 1×106×D)mm 垂直:±(5 1×106×D)mm RTK精度: 水平:±(101×106×D)mm 垂直:±(1×106×D)mm ERTK精度: 水平:±(01×106×D)mm 垂直:±(4001×106×D)mm 授时精度:GPS ns BD2 30ns GPSBD2 ns 单点



深达威 Sndway 高精度gps测亩仪彩屏土地面积测量仪sw G510 彩屏 Gps定位 锂电直充 轨迹 图片价格品牌报价 京东



北斗运用 就在您身边
VDOP(vertical dilution of precision )垂直分量精度因子 DOP值的大小与GPS定位的误差成正比,DOP值越大,定位误差越大,定位的精度就低。 PDOP则直接反映GPS卫星的分布情况,当PDOP较大时,表明空中的4颗GPS卫星几何分布不是太理想,他们构成的图形周长太短,定位精度就 中国卫星导航定位协会原名中国全球定位系统技术应用协会,成立于1995 年9月,于12 年9 月正式更名为中国卫星导航定位协会(简称中定协),中定协是我国卫星导航与位置服务领域的全国性行业协会,是经国家民政部批准的非营利性、全国性的社团组织。 阅读P4RTK的参数时, 看到:定位精度:垂直 15 cm 1 ppm(RMS);水平 1 cm 1 ppm(RMS)1 ppm 是指飞行器每移动 1 km 误差增加 1 mm;悬停精度 启用 RTK 且 RTK 大疆社区



Gps模块 搜狗百科



卫星定位导航行业市场发展趋势分析 卫星定位涉及国家安全gps不断向高精 锐观网
B级网点间 精度水平方向优于410 7 ,垂直方向优于810 7 国家gps a、b级网概况 全国性的g ss网简介框架: 框架:itrf93 itrf93 历元: 精度约为: 精度约为:10 10 国家gps a、b级网点位分布 全国g ps一、二级网 全国gps一、二级网于年由总参测绘局布测。悬停精度(PGPS) 垂直:±05 m(下视视觉系统启用:±01 m) 水平:±15 m(下视视觉系统启用:±03 m) 最大旋转角速度 俯仰轴:300°/s 航向轴:1°/s 最大俯仰角度(下置单云台) 35°(S 模式) 30°(P 模式) 25°(P 模式且前视视觉系统启用) 30°(A 模式



卡奇娱乐lt60h高精度手持gis 价格 报价 使用说明书 技术参数 多少钱 哪里买 四川 成都



计划静态gps Gnss控制调查 准确性和精度 Gnss 世界



高精度gnss 接收机 酒泉 乌鲁木齐 哪家好 珏光科技



非测绘型的gps定位器精度是多少米 知乎



Gps精度 Hdop Pdop Gdop 多径和大气开源地理空间基金会中文分会开放地理空间实验室



Oct 03 Sakai Enri Page 3 Gps Colorado



手持高精度gps定位仪t300与高精度rtk测量仪性能参 北京明图科技有限公司



Gps能垂直定位吗 知乎



航空gps导航系统如何报告gps精度



Gps定位基本原理浅析 赏月斋的技术博客 51cto博客



关于卫星定位 你想知道的一切 高德技术 程序员资料 程序员资料



04b双模三频高精度定位定向板



Gps定位基本原理浅析 Magicking110 博客园



Dji工程师能否考虑修改下失控返航的逻辑 以减少飞丢几率 产品 大疆社区



Hex Here Rtk Gps用于自创地面站的过程记录 雨路欣飞 程序员宝宝 程序员宝宝



久保田四星t16测亩仪高精度gps面积测量仪智能车载地亩量地t6st8s 便捷淘购商城 淘优券



北斗卫星导航系统说得那么好 是吹牛的吗



Gps定位基本原理浅析 赏月斋的技术博客 51cto博客



Swift 使用corelocation实现定位 经纬度 海拔 速度 距离等 码农家园



科普 差分gps是怎么回事 北京华星智控官网



Gps水平杆 Gps水平杆图片 价格 品牌 评价和gps水平杆销量排行榜



Shaftalign Touch 对中系统 普卢福



东方联星 北斗导航芯片 北斗导航板块 北斗导航终端 北斗导航芯片 板块 各类终端应用产品自主研发



思南gps T300 Gnss接收机 北京宇徕测绘仪器有限责任公司



无人机飞控相关的gps 知识小结 Dimianzhan地面站社区 高品质的px4 Ardupilot 无人机开发者社区



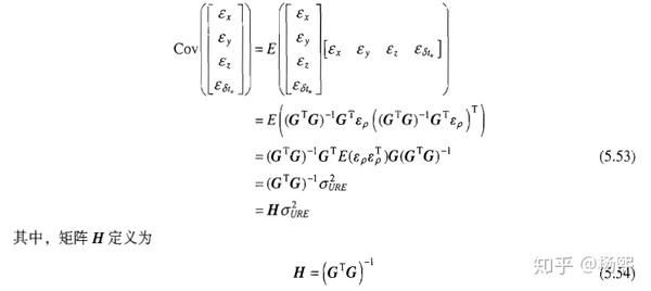
浅析gps变形监测中垂直位移的精度 Pdf 360文库



4 4gps接收机的工作原理 Ppt Download



陆态网 Gps与grace的中国大陆地表垂直形变对比分析



久保田四星t16测亩仪高精度gps面积测量仪智能车载地亩量地t6st8s 便捷淘购商城 淘优券



Gps放大器机架式gps步进可调放大器rga30 Sv8



手持高精度gps定位仪t300与高精度rtk测量仪性能参 北京明图科技有限公司



手持高精度gps定位仪t300与高精度rtk测量仪性能参 北京明图科技有限公司



Gps测量的精度及用途 Shaojieli的专栏 Csdn博客 Gps精度



星网宇达bds Gps定位定向接收机 厘米级实时定位 高精度新体验 新闻动态 星网宇达官网 卫星导航 组合导航 智能驾考设备首选



鳍 为什么这么神奇 自由微信 Freewechat



Github Ie Zhi Nmea Gps Parse Nmea Gps Parse Use C



南方天宇c96t Rtk测量专用gps 南方 Gnss Rtk Gps 产品分类 成都军星测绘仪器有限公司



美国天宝geo7x高精度手持gps定位仪 Trimble 天宝geo7x 南京君灿仪器设备有限公司



计划静态gps Gnss控制调查 准确性和精度 Gnss 世界



计划静态gps Gnss控制调查 准确性和精度 Gnss 世界



D Rtk 2 高精度gnss移动站



智航无人机



华测华易e91rtk Gps Gnss高精度工程测量放线仪器土方面积测绘徕斯达华测e91 图片价格品牌报价 京东



计划静态gps Gnss控制调查 准确性和精度 Gnss 世界



Jgg09 Com



专题解析 中国移动年 高精度定位评测 高精度定位产品哪家强 考拉海购



户外高亮gps时钟 产品中心 深圳市立显电子有限公司



Drotek Xl Px4 User Guide



高精度手持gps



Gps定位笔记2 定位精度与dop 知乎



Ait Blog海利创建社区 Gps Gnss卫星导航 Ins Ahrs Imu惯性导航 工业天线 体感跟踪 Ait海利创建



获取gps定位信息 并通过百度地图显示位置 韩慧兵的博客 Csdn博客 Gps定位信息



Sgs 818型新一代高精度静态gps仪sgs818 021 上海华岩仪器设备有限公司



南方south 银河6 Gnss高精度gps Rtk测量系统南方银河6 南京君灿仪器设备有限公司



Libackpack D50背包双激光雷达扫描系统新品发布 北京数字绿土科技有限公司



Gps定位笔记2 定位精度与dop 知乎



Gps接收机仿真模型 Matlab 万博1manbetx S Manbetx 845 万博尤文图斯



信号联网与地面公交优先控制车载终端改造应用研究 杂志论文 电脑知识与技术



北斗gps定位终端下载 北斗gps导航仪安卓版v1 0 0 Pc6手机下载



Gps卫星定位基本原理 李年辰的博客 程序员资料 Gps原理 程序员资料



为进行高精度数据采集做好准备 Appstudio For Arcgis Arcgis



Gps Gps位置視窗



手持高精度gps定位仪t300与高精度rtk测量仪性能参 北京明图科技有限公司



户外高亮gps时钟 产品中心 深圳市立显电子有限公司



Pbn知识小结 广域增强系统waas



Neo M8n Gps模組 Yuan のノート



博世推出新款气压传感器bmp390 精确室内定位可挽救生命 精度



陆态网 Gps与grace的中国大陆地表垂直形变对比分析



世界定位导航授时领域19年发展回顾与年展望 智邦网



技术贴丨无人机自动悬停的完成办法 超声波



室内高精度测量与定位系统 Igps 工业智能装备 西安国科电子科技有限公司



Uz100s 北斗星通导航产品事业部



Ppt 行動定位服務location Based Services Powerpoint Presentation Id



科普 差分gps是怎么回事 北京华星智控官网



Gps誤差以及慣性導航一些基本概念 每日頭條



公司新闻 南京高景通信技术有限公司



D Rtk 2 高精度gnss移动站 大疆创新华东代理江苏安徽江西浙江大疆行业应用无人机经销商 南京瞰云智能科技有限公司



Gps定位笔记2 定位精度与dop 知乎



北斗卫星导航系统说得那么好 是吹牛的吗



G190 手持gps定位器 昆明古特科技 昆明执法记录仪 昆明gps跟踪定位 昆明卫星电话 昆明gps手持机



瑞得r90t Rtk测量系统 技术参数 报价 原理 使用说明



苏州gps 沈阳精测鸿图仪器设备有限公司



除了gps与北斗世界上还有哪些卫星导航系统 美国的



根据项目要求 确定gnss技术测量等级和观测技术规定 注册测绘师题库 帮考网



Gps定位系统数据输出格式解析nema01 Gps定位器 Gps 模块 Ubx M8030 Kt Gps方案软硬件开发 汽车防盗器 深圳市华宇星通科技有限公司



Gps的使用



计划静态gps Gnss控制调查 准确性和精度 Gnss 世界



差分全球定位系统 维基百科 自由的百科全书
コメント
コメントを投稿